繁體中文 English 收藏本站 在线留言 站点地图 新浪微博 腾讯微博

您好,欢迎来到18luck手机客户端官网!

热搜关键词: 微型船型开关变压器品牌卧式贴片插座继电器生产厂家拨动开关

当前位置首页 » 新利18是什么平台新闻中心 » 行业资讯 » 介绍电感线圈的电感稳定性详情

介绍电感线圈的电感稳定性详情

返回列表 来源:dq50 作者: 查看手机网址
扫一扫!介绍电感线圈的电感稳定性详情扫一扫!
浏览:- 发布日期:2021-08-17 15:43:13【

新利18是什么平台最近推出一款磁环电感-T8*4*3,绿色磁芯,镍锌;OD=8mm; ID=4mm; H=3mm,下面给大家介绍一下电感线圈的电感稳定性

产品图模板-恢复的-恢复的

电感说的是线圈在磁场中活动时,线圈能够感应到的电流的强度,单位为“亨利”(H)。又指利用这种特性制造的元件。电感是元件再电路中体现出来的电磁感应特性!(含自自感和互感),线圈为电感元件。从广义上说,电感存在于电路的任何地方,任何元件都不是只有线圈才有电感!电路中的任何元件在频率很高时都会产生电感效应。确切地说,线圈是电感元件,电感的核心元件就是线圈。
电感线圈与电容的电特性相反,“通低频阻高频”。高频率信号通过感线圈时会遇到很大的阻力,很难通过;对于低频信号,显示阻力较小,也就是低频信号可以轻易地通过。电感线圈对直流电的电阻几乎为零。
电感线圈的电感稳定性说明
电阻,电容和电感,由于电路中电信号的流动会呈现出一些阻力,这种阻力我们称之为“阻抗”。电感线圈对电流信号所呈现的阻抗利用的是线圈的自感。有时我们把它简称为“电感”或“线圈”,用字母“L”表示。绕制电感线圈时,绕组线圈的圈数我们一般称之为线圈的匝数。

电感线圈的电感稳定性
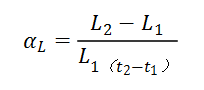
稳定度就是电感线圈参数随环境变化而变化的程度。一般采用电感温度系数αL来衡量线圈的稳定程度,它表示电感相对温度稳定性,以下是计算公司

QQ图片20210817160126

(式中:αL——电感温度系数;L———室温t,下测得的电感量;L2——正负极限温度t2下测得的电感量。)


电感温度系数主要是线圈导热膨胀,线圈产生几何变形,造成线圈温度膨胀。为提高线圈温度的稳定性,可采用热绕法制造线圈:通过绕制线圈的导线通流,使线圈发热后再绕制线圈,这样就可使线圈冷却收缩后紧贴骨架,不再容易发生受热变形,相应提高了稳定性。

除温度外,温度还会引起电感线圈参数的变化。比如,湿度增加,线圈的分配电容和损耗就会增加,线圈的稳定性就会下降。制作电感线圈时,为了避免湿度对线圈参数的影响,一般都要采取防潮措施,如环氧树脂封装或浸水处理。
Baidu
map